Inhaltsverzeichnis
Gegenstand der Zeitplanung oder auch Terminplanung bei Vorgangsknotennetzplänen ist die Berechnung der frühesten und spätesten Anfangs und Endzeitpunkte der Vorgänge, die Bestimmung der Pufferzeiten und kritischen Wege sowie die Ermittlung der gesamten Projektdauer.
Frühestmögliche Anfangs- und Endzeitpunkte
Sind die Mindestabstände der Normalfolge gegeben so wird die Berechnung der frühesten Anfangs- und Endzeitpunkte wie folgt durchgeführt.
Als erstes beginnt man mit der Ermittlung der frühesten Anfangszeitpunkte (FAZ). Dies geschieht, indem man für den Knoten $i$ die Bearbeitungszeit frühesten Endzeitpunkte der Vorgänger $h$ und die Mindestdauer (Pfeilbewertung) addiert. Existieren mehrere Vorgänger $h$, so wird das Maximum gewählt:
Methode
$FAZ_i = max{FEZ_h + d_{hi}}$
mit
$FAZ_1 = 0$
Als nächstes berechnet man dann aus dem FAZ den frühestmöglichen Endzeitpunk (FEZ). Dies geschieht, indem man zum frühesten Startzeitpunkt (FAZ) die Bearbeitungsdauer $t_i$ des betrachteten Knotens $i$ hinzuaddiert:
Methode
$FEZ_i = FAZ_i + t_i$
Spätestmögliche Anfangs- und Endzeitpunkte
Die spätestmöglichen Anfangs- und Endzeitpunkte geben an zu welchem Zeitpunkt das Projekt begonnen werden muss, damit dieses zu einem bestimmten Zeitpunkt fertiggestellt ist.
Die Vorgehensweise erfolgt von hinten nach vorne. Der $SAZ_i$ eines Knotens $i$ ermittelt sich, indem die Bearbeitungszeiten $d_i$ des Knotens $i$ von dem spätestens Endzeitpunkt $SEZ_i$ abgezogen wird. Der späteste Endzeitpunkt ist entweder für ein Projekt gegeben und wenn nicht, dann wird $SEZ_n = FEZ_n$ gesetzt. Danach geht man folgendermaßen vor:
Methode
$SAZ_i = SEZ_i - t_i$
Um dann den spätestens Endzeitpunkt (SEZ) für die weiteren Knoten zu bestimmen, betrachtet man das ermittelte $SAZ_i$ und schaut welche Vorgänger $h$ dieser Knoten $i$ hat. Für diese Vorgänger gilt dann:
Methode
$SEZ_h = min \{ SAZ_i - d_{hi} \}$
Pufferzeit und kritischer Pfad
Um den kritischen Pfad zu ermitteln muss zuerst der Gesamtpuffer (GP) für jeden Vorgang ermittelt werden. Dieser ermittelt sich durch:
Methode
$GP_i = SAZ_i - FAZ_i$
Der Gesamtpuffer gibt an um welche Zeiteinheit ein Vorgang verschoben werden kann ohne den spätesten Fertigstellungstermin des Projektes zu verzögern. Ist der Gesamtpuffer für einen Vorgang gleich 0, so ist dieser Vorgang als kritisch einzustufen. Bei einer zeitlichen Verschiebung dieses Vorganges würde sich die gesamte Projektdauer verzögern. Der kritische Pfad ist der Weg entlang aller kritischen Vorgänge.
Beispiel zum Vorgangsknotenetzplan
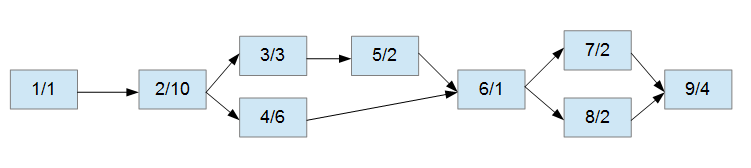
Für den folgenden Vorgangsknotennetzplan sollen die frühestmöglichen und spätestmöglichen Anfangs- und Endzeitpunkte bestimmt werden.
Merke
Sind keine Pfeilbewertungen gegeben so bedeutet das ein Mindestabstand der Normalfolge $d_{hi}$ von 0 zwischen den Vorgängen.
Die Ergebnisse werden in der folgenden Tabelle zusammengefasst:
Die Berechnung der Werte ist wie folgt vorgenommen worden:
Der früheste Anfangszeitpunkt $FAZ$ wurde bestimmt, indem die Dauern der Vorgängerknoten plus der Mindestabstand (hier :0) miteinander addiert worden sind. Bei mehreren Vorgängerknoten wird der maximale Wert gewählt. Z.B. für den Knoten 6 werden die Dauern der Vorgängerknoten miteinander addiert (die Pfeilbewertungen sind alle Null):
$FAZ_6 = max{1 + 10 + 3 + 2; 1 + 10 + 6} = 17$.
Der früheste Endzeitpunkt $FEZ$ wurde bestimmt, indem der früheste Anfangszeitpunkt mit der Dauer des Vorgangs addiert wurde. Zum Beispiel für den Knoten 6:
$FEZ_6 = 17 + 1 = 18$.
Danach wird mit dem spätesten Endzeitpunkt $SEZ$ begonnen. Ist kein Fertigstellungstermin in der Aufgabenstellung gegeben, so wird $SEZ_9 = FEZ_9 = 24$ gesetzt. Der späteste Endzeipunkt des letzten Vorgangs ist also gleich dem frühesten Endzeipunkt des letzten Vorgangs (hier: Vorgang 9). Es ist nun für den Vorgang 9 der späteste Endzeipunkt mit $SEZ_9 = 24$ bekannt. Danach wird der späteste Anfangszeitpunkt bestimmt, indem die Dauer des Vorgangs abgezogen wird:
$SAZ_9 = 24 - 4 = 20$.
Es wird dann als nächstes der Vorgängerknoten von Vorgang 9 betrachtet (hier Vorgang 8). Der spätesten Endzeitpunkt des Vorgangs 8 ist gleich dem spätesten Anfangszeipunkt von Vorgang 9: $SEZ_8 = SAZ_9 = 20$. Bei mehreren Vorgängerknoten wird das Minimum gewählt.
Nachdem die Zeitpunkte bestimmt worden sind, wird als nächstes der Gesamtpuffer jedes Vorgangs bestimmt. Hierbei wird der früheste Anfangszeipunkt $FAZ$ vom spätesten Anfangszeipunkt $SAZ$ abgezogen. Für den Vorgang 6 gilt zum Beispiel:
$SAZ_6 - FAZ_6 = 17 - 17 = 0$.
Der kritische Pfad ist der Weg entlag der Vorgänge mit einem Gesamtpuffer von Null:
Die Vorgänge 1 - 5 dürfen sich um eine Zeiteinheit verzögern ohne, dass der Fertigstellungstermin (hier: 24 Wochen) verzögert wird. Ab dem Vorgang 6 hingegen darf keine weitere Verzögerung eintreten, da ansonsten der Fertigstellungstermin nicht eingehalten werden kann.
Weitere interessante Inhalte zum Thema
-
Durchlaufterminierung
Vielleicht ist für Sie auch das Thema Durchlaufterminierung (Termin- und Kapazitätsplanung) aus unserem Online-Kurs Produktion interessant.



